1、結構
整個系統由控制柜、溫度傳感器、電磁加熱線圈組成。如下圖所示:
     
    
(1)控制柜:
作用一是將380V/50Hz交流電轉換成頻率為5-40KHz高頻高壓電,供給電磁加熱線圈。使電磁加熱線圈會產生高速變化的交變磁場,當磁場內的磁力線通過導磁性金屬材料時會在金屬體內產生無數的小渦流,使金屬材料本身自行快速發熱,達到給其內部流動的液體加熱的目的。
作用二是采集輸油管的溫度參數,根據設定值,在達到某設定溫度時關閉加熱系統或者降低輸出功率,達到節能的目的。
(2)溫度傳感器的作用是測量輸油管溫度,為控制系統提供決策依據。
(3)電磁加熱線圈的作用是控制柜提供的高速變化高頻高壓電流流過線圈會產生高速變化的交變磁場,當磁場內的磁力線通過導磁性金屬材料時會在金屬體內產生無數的小渦流,使金屬材料本身自行快速發熱,并且可以根據具體情況在金屬筒外部包裹一定的隔熱保溫材料,就極大的減少了熱量的散失,提高了熱效率節電效果十分顯著可達30%~80%。
    
2、標準輸油管電磁加熱系統參數介紹
一般標準輸油管電磁加熱系統技術指標(也可以根據用戶要求訂制)
(1)功率:10kW
(2)供電:380V/50Hz
(3)溫度控制:20--150℃,精度±2℃
(4)溫度測量范圍:-20--300℃,精度±2℃
(5)線圈采用繞制成設計感量,繞法根據輸油管徑現場繞制。
    
3、輸油管電磁加熱系統優點及推廣意義
按一米長輸油管,在一小時內將液體加熱到某一溫度計算,看一看電阻式加熱和電磁式加熱分別需要多少電量:
1)電阻式加熱初始加熱所需要的功率
KW電阻=KW1/QV
KW1是液體加熱需要的功率,QV是電轉化為熱的效率,取均值50%
KW 1= ( C1*M1*△T + C2*M2*△T )÷ 864/P + P/2+P1
式中:C1、C2分別為容器和介質的比熱(Kcal/Kg℃)
M1、M2分別為容器和介質的質量(Kg)
△T為所需溫度和初始溫度之差(℃)
H為初始溫度加熱到設定溫度所需要的時間(h)
P最終溫度下容器的熱散量(Kw)
P1是電阻絲自身升溫所需功率,按試驗得0.87 Kw
我們按照標準操作方式取△T=70℃,H=1,按照經驗P=8,
設輸油管直徑為73mm,壁厚5.5mm
那么一米長輸油管質量就是:9.087Kg
一米長輸油管內原油質量就是:3.018Kg
而原油的比熱C1=0.51,鋼的比熱C2=0.13
將各個參數代入公式,得到KW電阻=13.44
那么在一小時內就需要13.44kWh的電量。
2)電磁式加熱初始加熱所需要的功率
KW電磁=KW1/QV
KW1是液體加熱需要的功率,QV是電轉化為熱的效率,取均值98%
KW 1= ( C1*M1*△T + C2*M2*△T )÷ 864/P + P/2
式中:C1、C2分別為容器和介質的比熱(Kcal/Kg℃)
M1、M2分別為容器和介質的質量(Kg)
△T為所需溫度和初始溫度之差(℃)
H為初始溫度加熱到設定溫度所需要的時間(h)
P最終溫度下容器的熱散量(Kw)
我們按照標準操作方式取△T=70℃,H=1,按照經驗P=8,
設輸油管直徑為73mm,壁厚5.5mm
那么一米長輸油管質量就是:9.087Kg
一米長輸油管內原油質量就是:3.018Kg
而原油的比熱C1=0.51,鋼的比熱C2=0.13
將各個參數代入公式,得到KW電磁=5.97
那么在一小時內就需要5.97kWh的電量。
3)根據以上計算結果得到在同等條件下可以節約用電KW電阻-KW電磁=13.44-5.97=7.47kWh,
節電率=7.47/13.44=55%
    
優點:預熱時間短,通電就能加熱;線圈本身熱損小,使用壽命長,熱損耗少;加熱效率高,耗電的 95% 轉化為有效工作熱能。
推廣意義:提高了熱效率節電效果十分顯著可達30%~80%。按照最低節能30%計算,按照每年1億元加熱電費計算,每年就可以節約電費3000萬元,并且輸油管電磁加熱系統使用壽命長,在設備投資與維護上又可以節約一大筆資金,所以輸油管電磁加熱系統取代傳統的電阻加熱系統是必然趨勢。
4、以100米輸油管為例計算所需系統功率
在100米管出口溫度不低于32℃(不結臘)
以1小時為時間單位
以4寸輸油管為對象分析,里面介質是水(高含水原油)
環境溫度為-30℃
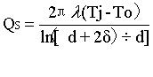
管道熱損失計算公式
    
 
    
式中:Qs—管道實際散熱量,Kcal/h·m或W/m
Tj—介質維持溫度,℃,設為32℃
To—冬天最低溫度,℃設為-30℃
λ—在介質維持溫度時保溫材料的導熱系數,Kcal/h·m·℃或W/m·℃,保溫棉的導熱系數約為0.15至0.30,計算取0.2
d—管道外徑,mm取101.6mm
δ—保溫層厚度,mm取50mm
Qs =113.68 W/m
那么100米輸油管所需加熱功率為100X113.68=11368W,考慮到轉換效率等因素,那么在出口溫度不小于32℃時,只需15KW的電磁加熱系統就可以了。
     
400電話